काठमाडौँ । नेपाल विद्युत् प्राधिकरण ऊर्जाशील कर्मचारी संघ श्रम तथा रोजगार कार्यालय टेकुमा प्रतिष्ठानस्तरको ट्रेड युनियनका रूपमा विधिवत् दर्ता भएको छ । ट्रेड युनियन ऐन २०४९ अनुसार दर्ता भएको संघलाई आइतबार कार्यालयले प्रमाणपत्र प्रदान गरेको हो ।
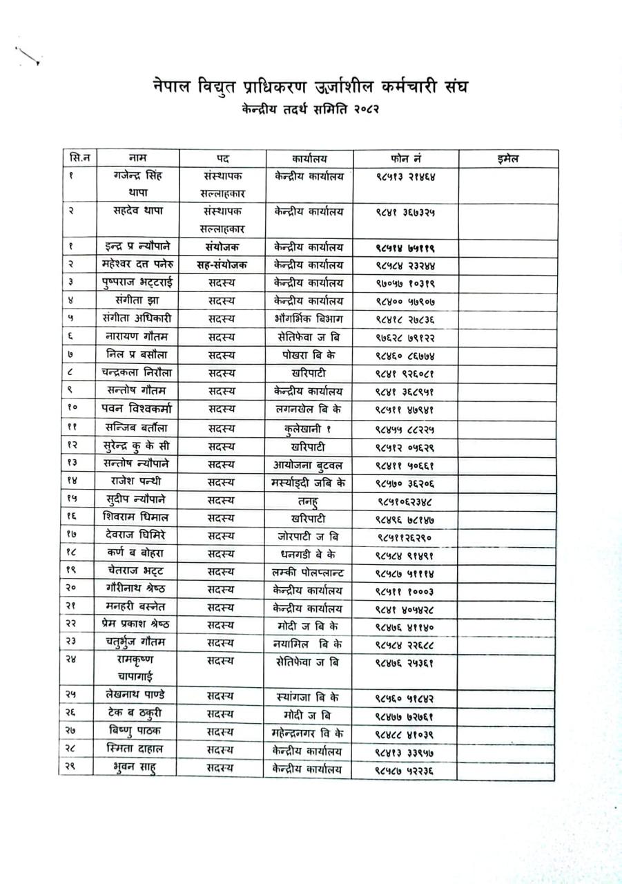
ट्रेड युनियन दर्ताका लागि प्राधिकरणमा कार्यरत ८ हजार ४३३ कर्मचारी मध्ये २५ प्रतिशतले हुन आउने २ हजार १०९ जनाको समर्थन चाहिनेमा आफूहरूले २ हजार ६६२ कर्मचारीको समर्थनमा दर्ता गरिएको संघको केन्द्रीय तदर्थ समितिका संयोजक इन्द्रप्रसाद न्यौपानेले बताए ।
‘विगतमा नेपाली कांग्रेस, नेकपा एमाले, माओवादीलगायतका पार्टीका नाममा कर्मचारीका भ्रातृ संगठनहरू दर्ता हुने गरेका थिए,’ उनले भने, ‘ऊर्जाशील कर्मचारी संघ भने कुनै पनि राजनीतिक दलसँग आवद्ध नभई स्वतन्त्र ट्रेड युनियनका रूपमा दर्ता भएकोले यसलाई सबैजसो राजनीतिक दलमा आवद्ध साथीहरूले समेत समर्थन गर्नुभएको छ ।’
यसअघि गत भदौ ३ गते न्यौपानेको संयोजकत्वमा ‘नेपाल विद्युत् प्राधिकरण ऊर्जाशील कर्मचारी संघ’ तदर्थ समिति गठन गरिएको थियो । नेपाल विद्युत् प्राधिकरण कर्मचारी संघमा आवद्ध ३६ सदस्यले गत साउन २७ गते सामूहिक राजीनामा दिएर उक्त संघ खोलेका थिए । हाल संघको तदर्थ केन्द्रीय समिति ४७ सदस्यीय रहेको छ ।

